La palabra «renovable» describe de dónde viene la energía, pero no describe cómo se construye la tecnología que la genera.
El sol es renovable.
El viento es renovable.
Un panel solar no lo es, o por lo menos, no todavía. Está hecho de silicio refinado a más de 1.500 °C, plata extraída de minas con diésel, aluminio fundido en cubas electrolíticas, polímeros sintetizados a partir de nafta petroquímica y vidrio templado en hornos de gas natural. Cada uno de esos materiales ha pasado por una cadena de procesos industriales que, a día de hoy, dependen en su mayoría de combustibles fósiles.

Esta distinción importa. No porque quiera invalidar los argumentos a favor de la electrificación, sino porque cuando la realidad física desaparece del debate, las políticas que se derivan de ese debate acaban siendo peores para todos.
Metales de la Electrificación, existe para devolver esa realidad al centro del análisis. Esta colección se centra en el análisis de los metales críticos para la viabilidad principalmente de los sistemas eólico y solar. Si el lector desea profundizar en el sector nuclear, puede consultar nuestra colección paralela: Energía nuclear: física, escala y sistema.
El sistema antes que el número
En Raw Science tenemos una regla: primero está el sistema, después vienen las cifras. No tiene sentido hablar del coste de un kWh o las emisiones de CO2 de un panel solar sin entender dónde empieza y dónde termina el recuento. ¿Incluimos la fabricación del panel? ¿Y el horno que produjo el vidrio? ¿Y la minería que extrajo el cuarzo utilizado para fabricar ese vidrio?
Este problema tiene un nombre técnico: definición de la frontera del sistema en un análisis de ciclo de vida (ACV, o life cycle assessment, LCA) 3 No es un detalle metodológico, sino el corazón del análisis, porque la respuesta a una pregunta aparentemente simple como “¿cuánto CO₂ emite un panel solar?” depende enteramente de dónde decidamos trazar esa frontera.
La literatura científica disponible sobre el ACV de sistemas fotovoltaicos documenta emisiones de ciclo de vida en el rango de 25 a 50 g CO₂eq/kWh para instalaciones a escala de servicios públicos, dependiendo de la tecnología, la localización geográfica y, de manera crítica, del mix energético del país donde se fabricó el panel 4, 5. Para ponerlo en contexto: el carbón genera entre 820 y 1.000 g CO₂eq/kWh en análisis equivalentes6. La diferencia es abrumadora y real. Pero incluso aquí hay una trampa conceptual: esos valores de la fotovoltaica no son absolutos, sino condicionales. Asumen que la energía utilizada en la fabricación refleja el mix eléctrico actual. Si ese mix se descarboniza, las emisiones del ciclo de vida bajan. Si no lo hace, el sustrato fósil permanece incrustado en cada panel.
La pregunta relevante no es si la solar emite menos que el carbón. Se trata de saber si la cadena industrial que la produce puede existir sin combustibles fósiles, con qué rapidez puede transformarse y, sobre todo, si hay suficientes recursos materiales para un mundo electrificado.
Anatomía de los paneles fotovoltaicos
Vale la pena entrar en los detalles materiales porque, como electroquímica de formación, me resulta difícil hablar de «paneles solares» como si fueran objetos abstractos que solo atrapan fotones. Son dispositivos industriales complejos, con una composición definida, procesos intensivos y dependencias materiales muy concretas. En el debate público, esta realidad suele desaparecer: el panel se convierte en un símbolo, limpio, silencioso, casi etéreo, cuando en realidad es el resultado de una cadena industrial profundamente anclada en materiales y energía.

El componente dominante de los paneles solares, en términos de masa, es el vidrio: aproximadamente entre el 70 % y el 75 % del peso total del módulo. Este vidrio se produce en hornos de flujo continuo a temperaturas de entre 1.100 y 1.200 °C, procesos que hoy dependen mayoritariamente del gas natural. Y aquí conviene ser claros: no existe, a escala industrial y desplegada en el mercado, una alternativa madura que permita fabricar este vidrio sin recurrir a combustibles fósiles.
En el corazón del sistema está la oblea de silicio. Para obtenerla se necesita polisilicio de alta pureza, conocido como solar-grade polysilicon, cuya producción comienza con cuarzo (SiO₂) y pasa por una reducción carbotérmica en hornos de arco eléctrico a temperaturas de entre 1.500 y 2.000 °C. A partir de ahí, el material debe someterse a procesos de purificación química extremadamente intensivos en energía (como el proceso Siemens o sus variantes) hasta alcanzar purezas del orden del 99,9999 %7. En este punto la geografía desempeña un papel fundamental: más del 75 % de la producción mundial de polisilicio se concentra en China, donde más del 60 % del mix eléctrico proviene del carbón 8,9.
Más allá del silicio, hay materiales que rara vez entran en la conversación, pero que son esenciales. Las finas líneas metálicas visibles en las células son contactos de plata, necesarios para recoger y transportar los electrones generados por efecto fotovoltaico. Aunque un panel solo requiere unos pocos gramos de plata, veremos que este metal es un material fundamental cuyos recursos mineros son limitados, que depende casi exclusivamente de los combustibles fósiles y que tiene sus propias implicaciones geopolíticas.
El marco del panel suele ser de aluminio: ligero, resistente a la corrosión y relativamente barato. Pero su aparente simplicidad es engañosa. El aluminio es uno de los materiales más intensivos en electricidad de toda la industria: su producción primaria requiere electrólisis a alta temperatura (proceso Hall-Héroult), seguida de múltiples etapas de tratamiento mecánico y químico10. En términos energéticos, es cualquier cosa menos trivial.
Finalmente, las células fotovoltaicas se encapsulan para sobrevivir en el mundo real: radiación ultravioleta, humedad, ciclos térmicos, tensiones mecánicas. Este encapsulado se basa en polímeros como el etil-vinil-acetato (EVA) y fluoropolímeros (PVDF o PVF), materiales derivados directamente del petróleo o del gas natural. Son invisibles en la narrativa pública, pero indispensables en la realidad física del dispositivo.
Eólica: otra arquitectura, misma dependencia
Por su parte, un aerogenerador responde a una lógica de diseño distinta a la de un panel solar, pero comparte un problema de fondo: su dependencia estructural de materiales y procesos intensivos en energía11. Las palas son quizá el elemento más icónico y también uno de los más invisibles en términos materiales. Están fabricadas principalmente con fibra de vidrio o de carbono, reforzadas con resinas epoxi. En turbinas offshore de gran formato, cada pala puede incorporar del orden de 12 a 15 toneladas de estas resinas: polímeros termoestables derivados directamente del petróleo. Una vez curados, además, no pueden fundirse ni reciclarse de forma convencional.
La torre concentra la mayor parte de la masa del sistema —entre el 71 % y el 79 % del total— y está construida en acero. Y el acero, en su forma dominante hoy, sigue siendo un producto del alto horno: mineral de hierro reducido con coque metalúrgico a temperaturas cercanas a los 1.500 °C. Es un proceso químico y energético profundamente ligado al carbono.
La base que sostiene todo el conjunto es una fundación de hormigón armado. Aquí aparece uno de los puntos más críticos y químicamente interesantes del sistema. El cemento, componente clave del hormigón, se produce en hornos rotativos a unos 1.450 °C. Pero lo relevante no es solo la temperatura, sino la química: aproximadamente el 60 % de las emisiones de CO₂ asociadas al cemento no provienen de la combustión, sino de la propia reacción de calcinación del carbonato cálcico: CaCO₃ → CaO + CO₂ 12
Es decir, incluso si elimináramos completamente los combustibles fósiles del proceso térmico, una fracción significativa de las emisiones persistiría. No es solo un problema energético; es un problema de química fundamental 13.
Por eso, en términos sistémicos, descarbonizar el cemento es probablemente más complejo que descarbonizar el acero. Y, sin embargo, ambos son pilares materiales imprescindibles de la infraestructura eólica.
La escala lo cambia todo
Ahora hay que hablar de números. No de un panel, sino de los millones que están planeados.
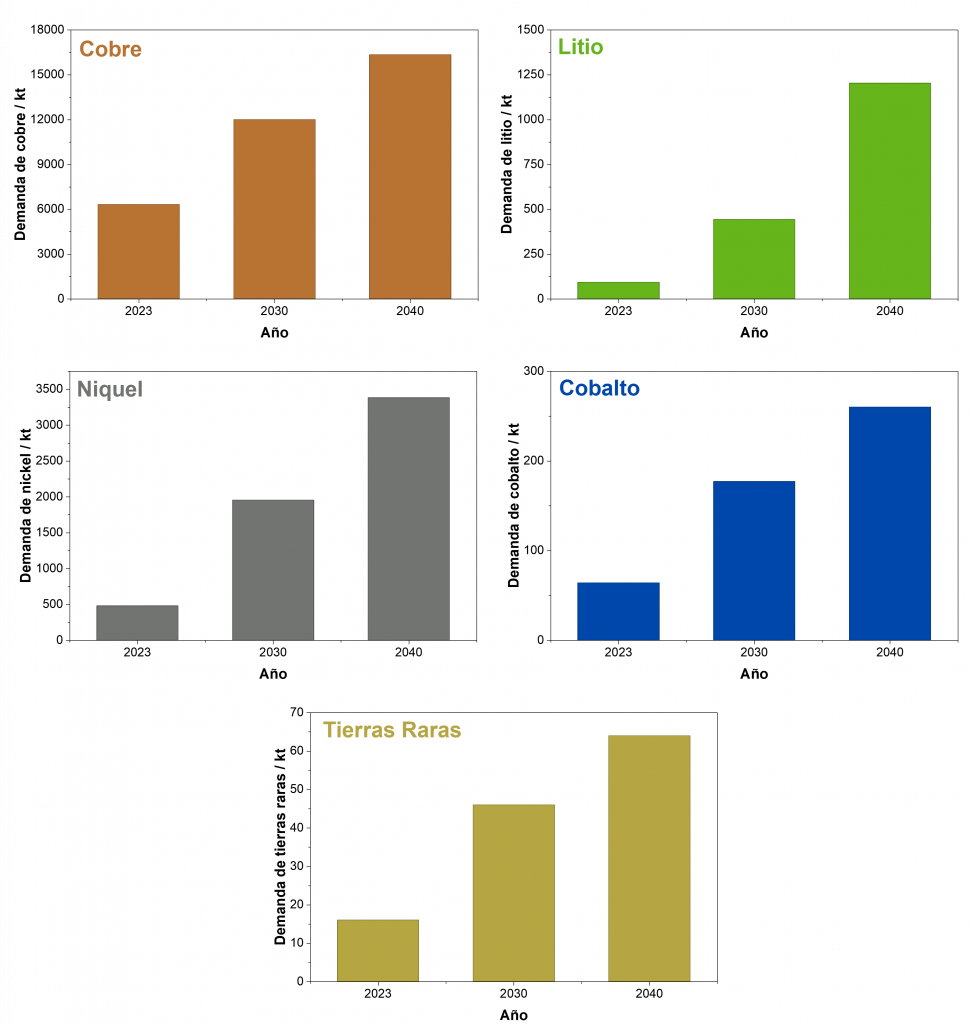
La Agencia Internacional de la Energía (AIE) proyecta en su escenario Net Zero Emissions (NZE) un incremento de la capacidad fotovoltaica instalada de aproximadamente 20 veces respecto a los niveles actuales, y un incremento de la capacidad eólica de 11 veces, hacia 20508. El almacenamiento en baterías debería multiplicarse por 14 antes de 2030, para alcanzar 1.200 GW de capacidad14.
Estas cifras implican una movilización sin precedentes de materiales. La AIE proyecta que la demanda de minerales críticos para la transición energética se duplicará en el escenario de políticas actuales (STEPS) antes de 2030, y se cuadriplicará en el NZE hacia 204015. Para el cobre, metal esencial en transformadores, cables, motores eléctricos y componentes de renovables, la AIE estima una brecha entre la oferta proyectada de minas ya anunciadas y la demanda requerida que alcanza el 30% en 2035, incluso en el escenario moderado15. Para el litio, esa brecha es del 50%15.

Cabe destacar que el desarrollo de una mina tiene un plazo medio desde el descubrimiento hasta la producción de 16-17 años16. Esto no es una limitación tecnológica: es geología, ingeniería civil, regulación medioambiental y financiación de capital. Las minas que necesita la transición de 2035 ya tendrían que estar en construcción. Las de 2040, en fase avanzada de exploración.
Pues, no lo están, o por lo menos no al ritmo requerido. La inversión en minería de minerales críticos creció apenas un 5% en 2024, una desaceleración significativa respecto al 14% de 2023 y el 30% de 2022 17.
Conclusión
Pero me dirán: a pesar de todo lo anterior, un sistema solar produce enormemente menos CO₂ por kWh a lo largo de su vida útil que cualquier alternativa fósil, y eso es lo que importa para el clima.
Es un argumento potente. Probablemente el más convincente en el debate público.
Y, en general, es cierto: el efecto neto de las renovables sobre las emisiones es positivo incluso contando las emisiones de fabricación: el período de amortización de carbono de un sistema fotovoltaico en condiciones típicas suele ser de 1 a 4 años, según la tecnología y su localización, y considerando una vida útil de 25-30 años.Sin embargo, la base del problema reside en una dimensión distinta: la transformación del sistema energético global no es un simple ejercicio de sustitución de fuentes de generación. Es, fundamentalmente, una reconfiguración de la base industrial que fabrica las herramientas de esa transición.
Y esa base industrial, el acero, el cemento, los productos petroquímicos, el aluminio, el cobre refinado, representa hoy alrededor del 37% de las emisiones globales relacionadas con la energía18, con cinco sectores (cemento, acero, petróleo y gas, química y minería de carbón) acumulando el 80% de todas las emisiones industriales. Además, ante las proyecciones de demanda de infraestructuras renovables para los próximos 20 años, emergen tensiones menos visibles: límites físicos, cuellos de botella industriales, dependencias geográficas. La dimensión minera y geopolítica no desaparece en la transición, sino que se intensifica.
Tratar la generación y la industria como una única entidad, o ignorar la huella material y geopolítica del despliegue tecnológico mientras se celebra el avance eléctrico, es una simplificación con un coste real. Sin una estrategia que integre la circularidad de los materiales y la descarbonización de su extracción, corremos el riesgo de resolver una crisis de emisiones creando una crisis de recursos y soberanía industrial.
Para qué existe esta colección
La colección Materiales de la Electrificación de Raw Science nace de una pregunta simple: ¿qué hay dentro de los dispositivos que se supone que van a salvar el sistema energético?
Más que un artículo de opinión, esta serie constituye un análisis de la ciencia de materiales aplicada a la política energética. El punto de partida es estrictamente físico: cualquier tecnología existe como materia, y esa materia tiene que ser extraída, procesada y refinada. Los límites físicos y geoquímicos de esa extracción son reales y no negociables.
Los artículos que siguen a esta introducción cubren:
La plata: el metal invisible de la electrificación. La plata es un caso de libro para entender la tensión entre demanda tecnológica y concentración geopolítica de suministro.
Cobre: el metal que conecta la transición. Análisis del conductor universal. Sin cobre no hay red eléctrica; exploramos por qué su brecha de suministro proyectada es el cuello de botella más crítico de la década.
Litio: el mineral de moda que nadie entiende bien. Precio, química, extracción, geopolítica. La idea de que “el litio es el nuevo petróleo” mezcla intuiciones correctas con simplificaciones profundas que conviene analizar.
Cobalto: la geografía del riesgo. Más del 70 % de la producción mundial se concentra en la República Democrática del Congo. No es solo una cuestión de oferta, sino de estabilidad, gobernanza, ética y dependencia.
Tierras raras: el monopolio silencioso. Los imanes de neodimio-hierro-boro son necesarios en cada motor eléctrico y cada aerogenerador. ¿Pero qué país controla la cadena de las tierras raras desde la mina hasta el imán?
Reciclaje de paneles y baterías: la termodinámica frente al marketing: Un análisis sobre los límites reales de la recuperación de materiales en paneles y baterías, priorizando la viabilidad técnica de la química sobre las promesas de circularidad.
Cada artículo aplica el mismo enfoque: datos primarios, análisis de ciclo de vida donde existe, perspectiva del sistema completo y lectura explícita de las limitaciones. En paralelo a esta serie sobre la electrificación, ofrecemos un estudio sobre la energía nuclear y ciclo del uranio en: El uranio y sus cadenas: minería, enriquecimiento y geopolítica nuclear.
Cómo citar este artículo
Caniglia, G. (2026). Metales de la electrificación: por qué la transición energética empieza en una mina. Raw Science.
Referencias
- S. Wang et al. (2024), Updated Mining Footprints and Raw Material Needs for Clean Energy. The Breakthrough Institute
- Our World in Data. (2024), Materials used for low-carbon electricity sources.
- Frischknecht, R. (Ed.) (2022). Environmental Life Cycle Assessment of Electricity from PV systems, 2021 data update. IEA-PVPS.
- X. Xu, X. Chen, H. Wang, L. Zhao, Z. Wang, y W.-Q. Chen, Resour. Conserv. Recycl., 215, 108076 (2025). doi: 10.1016/j.resconrec.2024.108076
- L. Wang, T. Qiu, M. Zhang, Q. Cao, W. Qin, S. Wang, L. Wang, D. Chen, y M. Wild, Renew. Sustain. Energy Rev., 200, 114603 (2024). doi: 10.1016/j.rser.2024.114603
- Schlömer, S. et al. Annex III: Technology-Specific Cost and Performance Parameters. En: IPCC Fifth Assessment Report – Climate Change 2014: Mitigation of Climate Change. Cambridge University Press, 2014
- Méndez, L., Forniés, E., Garrain, D., Pérez Vázquez, A., Souto, A., & Vlasenko, T. Science of The Total Environment, 789, 147969 (2021). doi: 10.1016/j.scitotenv.2021.147969
- IEA. Special Report on Solar PV Global Supply Chains. International Energy Agency, Paris, 2022.
- L. Yuan, A. Farina, and A. Anctil, Sustainable Production and Consumption, 49, 236 (2024). doi: 10.1016/j.spc.2024.06.014
- Ratvik, A.P., Mollaabbasi, R. & Alamdari, H. ChemTexts 8, 10 (2022). doi: 10.1007/s40828-022-00162-5
- Bošnjaković, M., Katinić, M., Santa, R., & Marić, D. Applied Sciences, 12(17), 8653 (2022). doi: 10.3390/app12178653
- Lavagna, L., & Nisticò, R. Applied Sciences, 13(1), 203 (2023) doi: 10.3390/app13010203
- Andrew, R. M. Earth Syst. Sci. Data, 10, 195–217 (2018). doi: 10.5194/essd-10-195-2018
- IEA. Batteries and Secure Energy Transitions. International Energy Agency, Paris, 2024.
- IEA. Global Critical Minerals Outlook 2024. International Energy Agency, Paris, 2024.
- S&P Global Market Intelligence. Copper in the Age of AI: A Supply-Demand Analysis to 2040. S&P Global, enero 2026
- IEA. Critical Minerals – Topics and Market Developments 2025. International Energy Agency, Paris, 2025
- IEA. Breakthrough Agenda Report 2023 – Steel sector. International Energy Agency, Paris, 2023.